Предмет: Математика,
автор: Diman4ik355
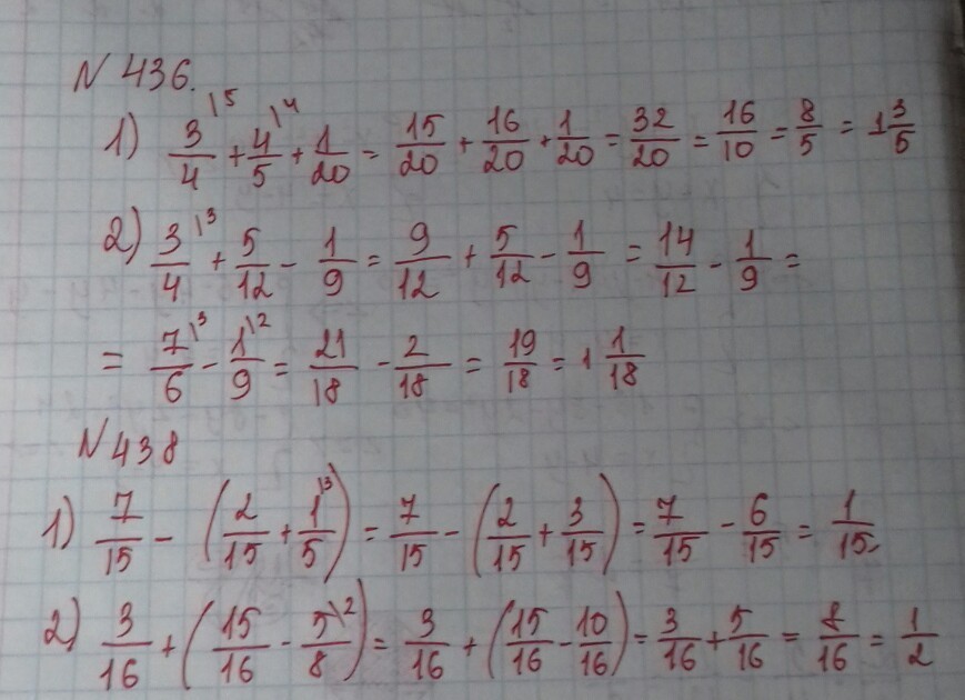
N436
1)3/4+4/5+1/20=
2)3/4+5/12-1/9=
N438
1)7/15-(2/15+1/5)=
2)3/16+(15/16-5/8)=
Приложения:
Ответы
Автор ответа:
0
Решение на фотографии выше
Приложения:
Автор ответа:
0
спасибо ты меня спас
Похожие вопросы
Предмет: Литература,
автор: usosbzm
Предмет: Математика,
автор: petyovkavanya
Предмет: Другие предметы,
автор: kamalovasamira
Предмет: Информатика,
автор: arianna212002
Предмет: Литература,
автор: лизоооооок1