Предмет: Математика,
автор: ilesaguboreva
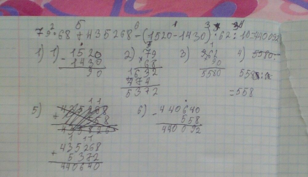
сколько будет 79*68+435268-(1520-1430)*62/10
Ответы
Автор ответа:
0
Лови и удачи в школе.
Сделай лучшим плиз.
Ссори вот.
440640
- 558
_______
440082
Сделай лучшим плиз.
Ссори вот.
440640
- 558
_______
440082
Приложения:
Похожие вопросы
Предмет: Литература,
автор: greshka667
Предмет: Қазақ тiлi,
автор: aldiarbajtursynov
Предмет: Русский язык,
автор: fedyafedor24
Предмет: Математика,
автор: ugrigorkina05
Предмет: Литература,
автор: никааааааааааааа1