Предмет: Математика,
автор: latyshkaterina
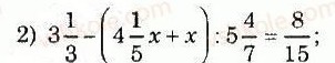
Помогите решить очень нужно!
Приложения:
Ответы
Автор ответа:
0
Где примеры ? Как ОТВЕЧАТЬ если не чего нет ?
Похожие вопросы
Предмет: География,
автор: tilekshizh07
Предмет: Алгебра,
автор: birukovaanastasia17
Предмет: Музыка,
автор: dilya0065
Предмет: Литература,
автор: Moonq1113