Предмет: Математика,
автор: SnaikAys2001
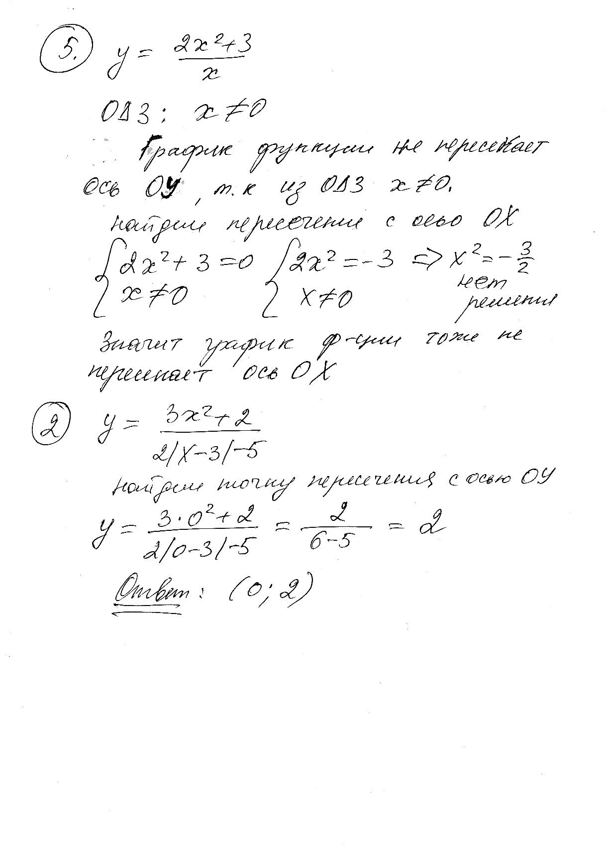
40 БАЛЛОВ. ПОМОГИТЕ ПОЖАЛУЙСТА, ПРОШУ(((
Приложения:
Ответы
Автор ответа:
0
Решение ниже в приложении
Приложения:
Автор ответа:
0
спасибо большое,... а то умал пропаду
Автор ответа:
0
отмечу как лучший. когда появится
Похожие вопросы
Предмет: Другие предметы,
автор: fahryhittin
Предмет: Русский язык,
автор: mrpu08
Предмет: Алгебра,
автор: vika05lebedinova
Предмет: Математика,
автор: smailswort
Предмет: Литература,
автор: lgggf