Предмет: Химия,
автор: arykaaaaa501
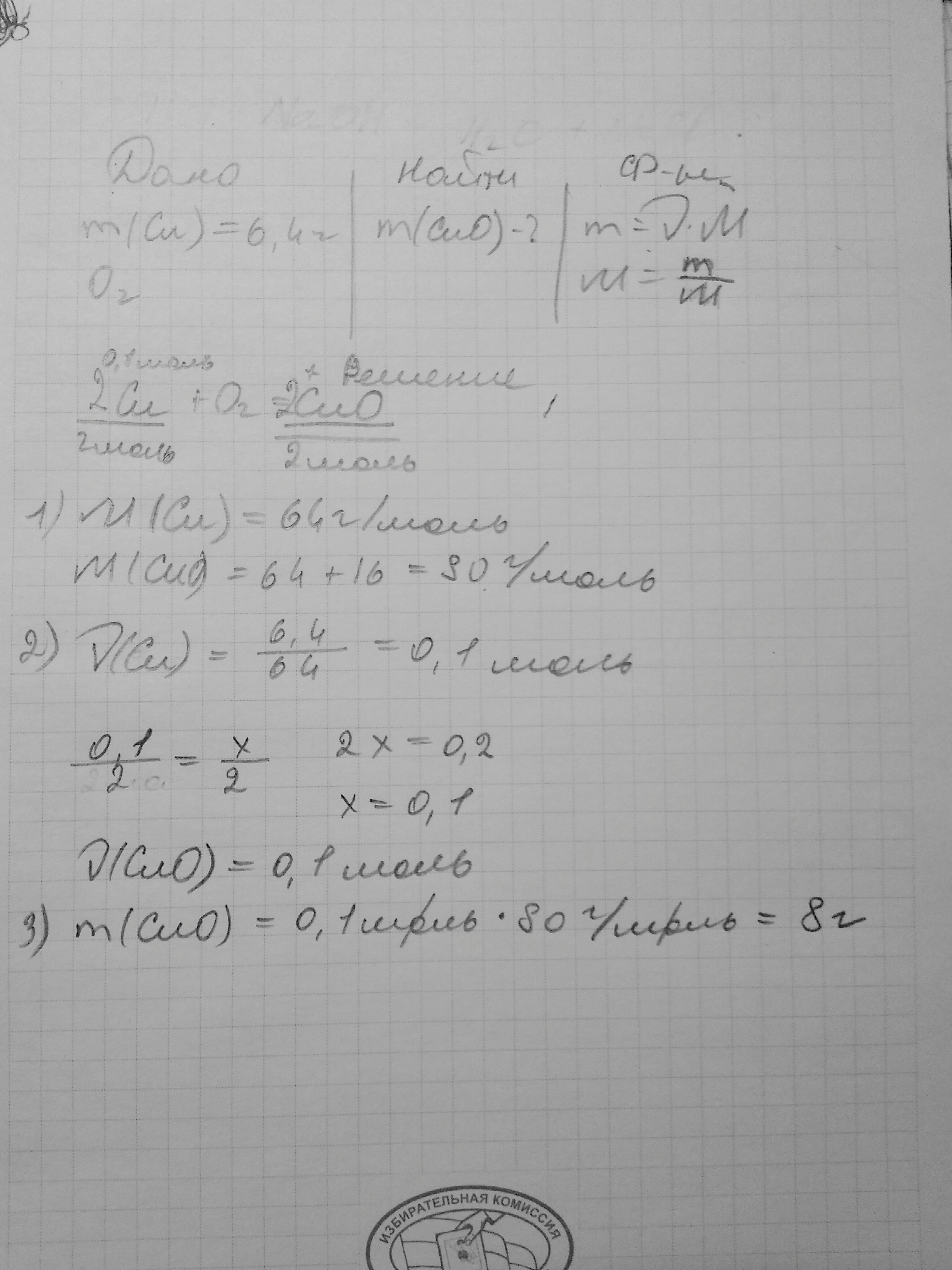
Дано:
m(Cu)=6,4г.
O2
m(CuO)-?
Ответы
Автор ответа:
0
Держи)
Надеюсь, что все поймешь)
Надеюсь, что все поймешь)
Приложения:
Похожие вопросы
Предмет: География,
автор: kenigmilana
Предмет: Алгебра,
автор: dimapavlov200772
Предмет: Физика,
автор: Oookeey
Предмет: История,
автор: Аноним
Предмет: Математика,
автор: Гаас