Предмет: Математика,
автор: karya8909
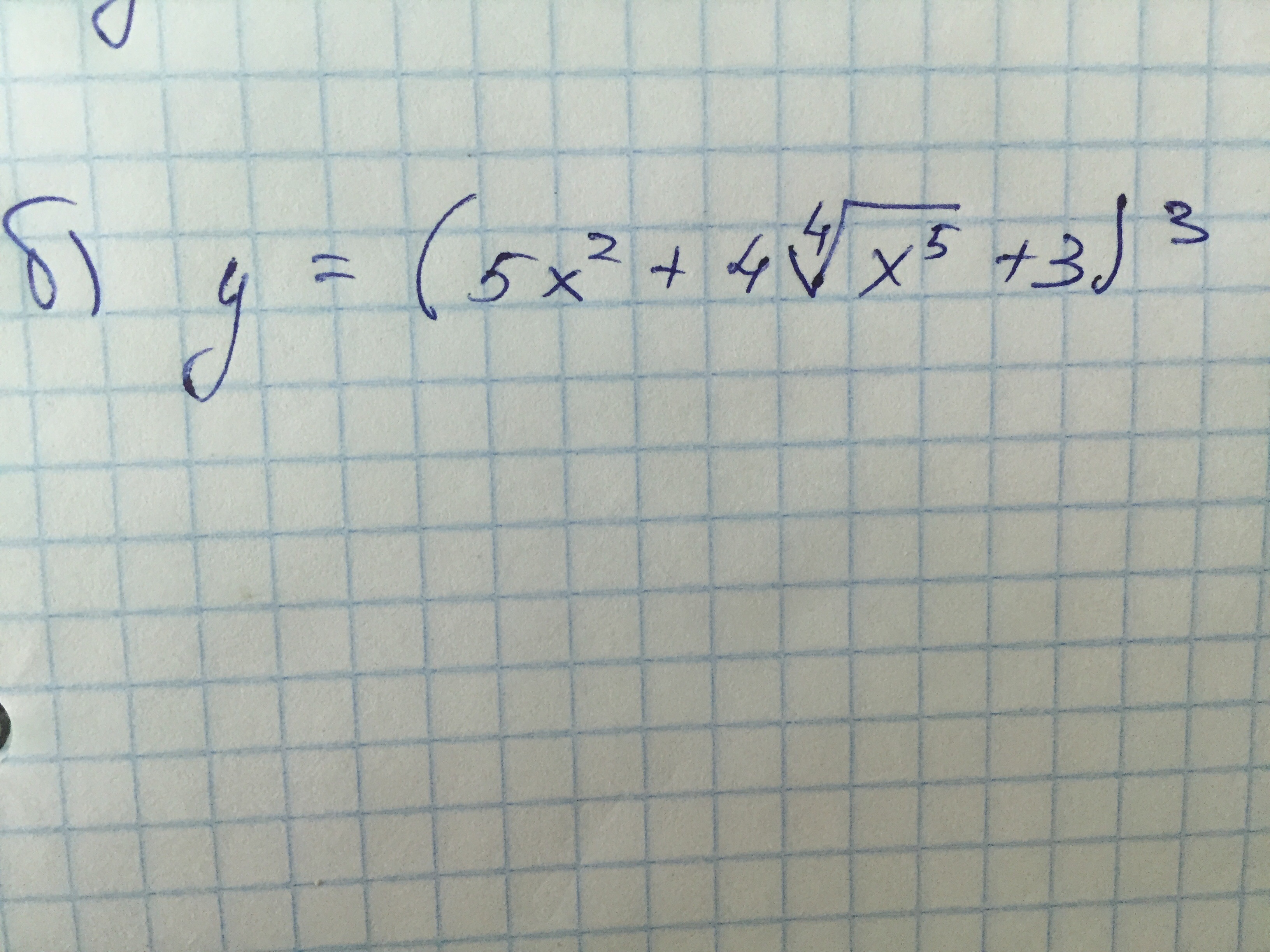
Найти производную заданных функций
Приложения:
Ответы
Автор ответа:
0
у'=3•(5х²+ 4 ⁴√(х^5) +3)²•(10х+5 ⁴√х)
Похожие вопросы
Предмет: ОБЖ,
автор: zannazumaeva7
Предмет: Литература,
автор: Аноним
Предмет: Алгебра,
автор: senanastasia12
Предмет: Алгебра,
автор: tigrenok9715
Предмет: Геометрия,
автор: Romka119