Предмет: Алгебра,
автор: pyurtrqyet
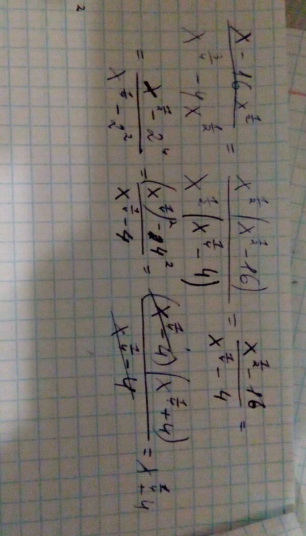
Решить...... помогите пожалуйста. степень с рациональным показателем
х - 16x^1/2
_____________
х^3/4 - 4х^1/2
Приложения:
Ответы
Автор ответа:
0
решение находится во вложении
Приложения:
Похожие вопросы
Предмет: География,
автор: aiaulymmuhambetkali
Предмет: История,
автор: nastyajiguleva
Предмет: География,
автор: nazarijdubinuk
Предмет: Литература,
автор: пис1
Предмет: История,
автор: вероника240