Предмет: Алгебра,
автор: sememams
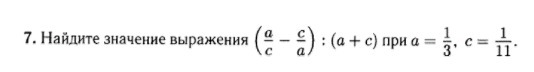
Помогите срочно нужно
Приложения:
Ответы
Автор ответа:
0
вот проверь,надеюсь правильно
Приложения:
Автор ответа:
0
112/33 * 33/14 = 8
Автор ответа:
0
это не вошло
Автор ответа:
0
в скрин
Похожие вопросы
Предмет: Английский язык,
автор: ded85
Предмет: Математика,
автор: nikitabojko28
Предмет: История,
автор: kravcovdvv
Предмет: Математика,
автор: Ученик0409
Предмет: Химия,
автор: shadowAnn