Предмет: Алгебра,
автор: Mognolia
решите иррациональные уравнения:
Приложения:
Ответы
Автор ответа:
0
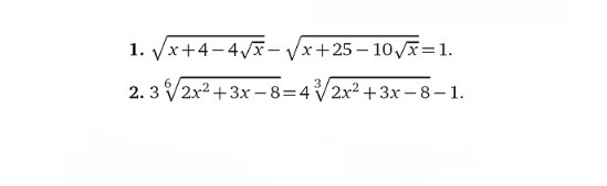
1)ОДЗ: х ≥0
x-4√x+4=(√x-2)²;
x-10√x+25=(√x-5)²;
√(√x-2)²)=|√x-2|
√(√x-5)²)=|√x-5|
Уравнение принимает вид
|√x-2|-|√x-5|=1
Подмодульные выражения обращаются в ноль в точках 4 и 25, раскрываем знак модуля на промежутках
[0;4] - (√x -2)+(√x-5)=1 уравнение не имеет корней.
(4;25] (√x -2)+(√x-5)=1 ⇒ 2√х=8⇒ √х=4 ⇒ х=16
(25;+∞) (√x -2)-√x-5)=1 - уравнение не имеет корней
О т в е т. 16
2) Замена переменной
корень шестой степени из 2х²+3x-8 обозначим через t, тогда
∛2х²+3x-8=t²
Квадратное уравнение
4t²-3t-1=0
D=9+16=25
t₁=-1/4 или t₂=1
корень шестой степени не может быть числом отрицательным,
t₁- посторонний корень
Обратная замена
2x²+3x-8=1
2x²+3x-9=0
D=9+4·2·9=81
x₁=-3 x₂=1,5
О т в е т. -3; 1,5
x-4√x+4=(√x-2)²;
x-10√x+25=(√x-5)²;
√(√x-2)²)=|√x-2|
√(√x-5)²)=|√x-5|
Уравнение принимает вид
|√x-2|-|√x-5|=1
Подмодульные выражения обращаются в ноль в точках 4 и 25, раскрываем знак модуля на промежутках
[0;4] - (√x -2)+(√x-5)=1 уравнение не имеет корней.
(4;25] (√x -2)+(√x-5)=1 ⇒ 2√х=8⇒ √х=4 ⇒ х=16
(25;+∞) (√x -2)-√x-5)=1 - уравнение не имеет корней
О т в е т. 16
2) Замена переменной
корень шестой степени из 2х²+3x-8 обозначим через t, тогда
∛2х²+3x-8=t²
Квадратное уравнение
4t²-3t-1=0
D=9+16=25
t₁=-1/4 или t₂=1
корень шестой степени не может быть числом отрицательным,
t₁- посторонний корень
Обратная замена
2x²+3x-8=1
2x²+3x-9=0
D=9+4·2·9=81
x₁=-3 x₂=1,5
О т в е т. -3; 1,5
Похожие вопросы
Предмет: Алгебра,
автор: nastysarman
Предмет: Химия,
автор: deshka236
Предмет: Физика,
автор: asksjjakaka
Предмет: Физика,
автор: N8as3kokrishReg
Предмет: Литература,
автор: Маринаm