Предмет: Математика,
автор: GalaCat13
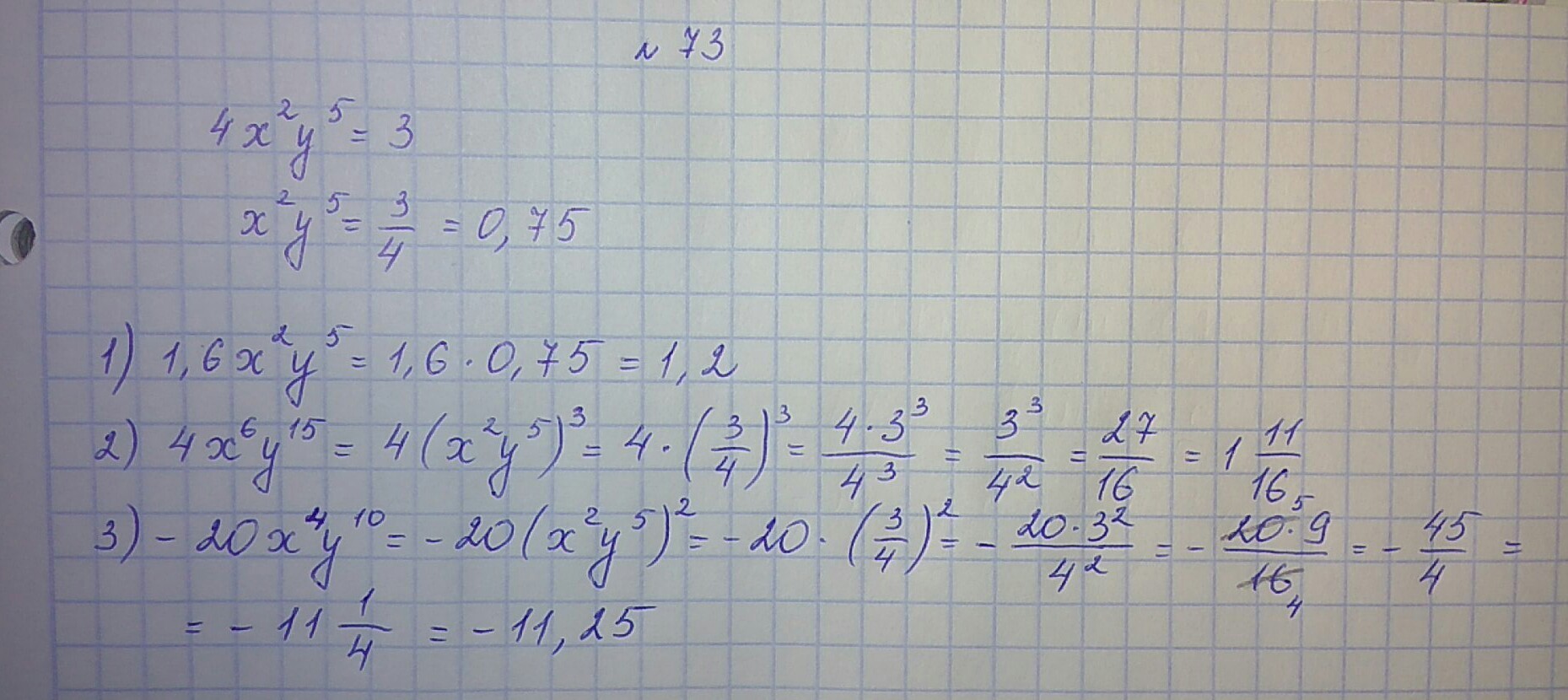
Помогите! Срочно! Номер 73, не проходите мимо!
Приложения:
Ответы
Автор ответа:
0
Ответы и решение на фото
Приложения:
Похожие вопросы
Предмет: Английский язык,
автор: aruzanisatilda48
Предмет: Русский язык,
автор: dolgosheinm
Предмет: Қазақ тiлi,
автор: rybalkinadiana
Предмет: Математика,
автор: ильмира6