Предмет: Алгебра,
автор: rvachevadarinanika
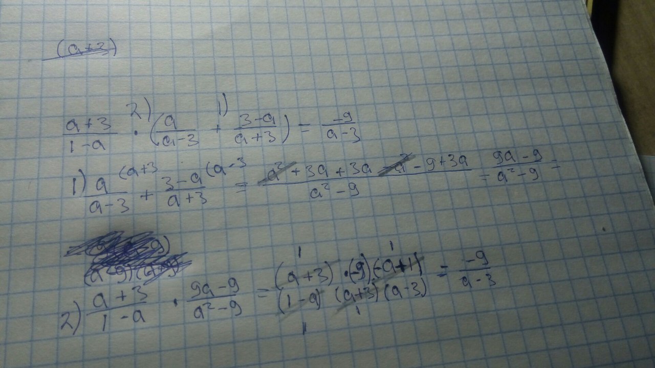
помогите решить
и каким способом решали
Приложения:
Ответы
Автор ответа:
0
То что карандашом это уничтожение и сокращение
Приложения:
Похожие вопросы
Предмет: Русский язык,
автор: arinakilmuhametova9
Предмет: Физика,
автор: novikovleha200316
Предмет: Русский язык,
автор: Kausarerkinbek770
Предмет: Литература,
автор: 79119092097
Предмет: Математика,
автор: Элеонарочка