Предмет: Физика,
автор: rbkbyf966
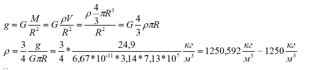
Ускорение свободного падения на поверхности Юпитера 24.9 м/c², а радиус планеты 7,13 *10^7 м. Вычислите по эти данным среднюю плотность планеты.
Ответы
Автор ответа:
0
смотри решение во вложении
Приложения:
Похожие вопросы
Предмет: Информатика,
автор: Germesplay12
Предмет: Математика,
автор: nikitateplyh435
Предмет: Геометрия,
автор: megumin50
Предмет: Алгебра,
автор: Dimonkot
Предмет: Математика,
автор: Mirbakg