Предмет: Алгебра,
автор: novakk020
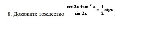
Докажите тождество (как можно подробнее пожалуйста)
Приложения:
Ответы
Автор ответа:
0
Вот ответ вот ответ вот ответ вот ответ
Приложения:
Автор ответа:
0
Решение во вложении, надеюсь понятно
Приложения:
Похожие вопросы
Предмет: Химия,
автор: rmwrmm
Предмет: Химия,
автор: ska9t
Предмет: Алгебра,
автор: kykymber228
Предмет: Физика,
автор: Akkord1
Предмет: Математика,
автор: барет95