Предмет: Математика,
автор: Аноним
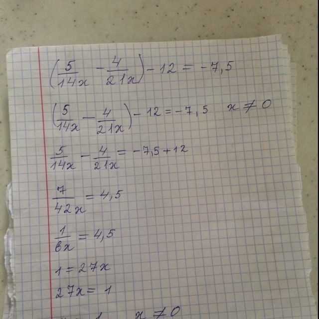
Решите уравнение (5/14x-4/21x)-12=-7,5
Ответы
Автор ответа:
0
вот ответ дкюумаю понятно
Приложения:
Автор ответа:
0
(5/14x-4/21x)-12=-7,5
5/14x-4/21x=-7,5+12
7/42x=4,5
1/6x=4,5
1=27x
27x=1
X=1/27 как то так вообщем
5/14x-4/21x=-7,5+12
7/42x=4,5
1/6x=4,5
1=27x
27x=1
X=1/27 как то так вообщем
Приложения:
Похожие вопросы
Предмет: Алгебра,
автор: asanovav76
Предмет: География,
автор: Zamzog
Предмет: Русский язык,
автор: ikukuzenko2
Предмет: Алгебра,
автор: Timur12345678
Предмет: Обществознание,
автор: OliaHamatova