Предмет: Химия,
автор: Флейс
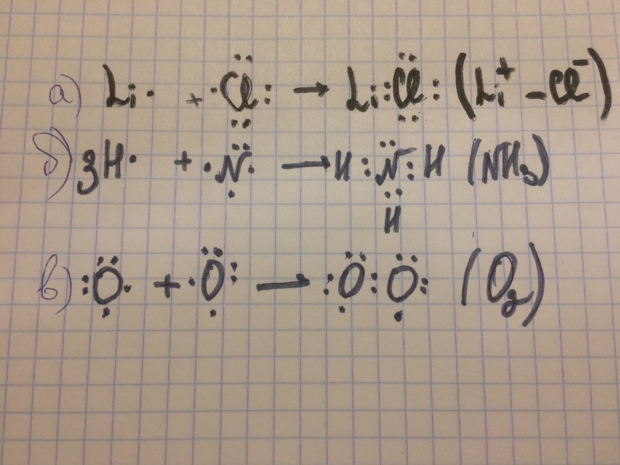
Определите, какая связь образуется при взаимодействии атомов: а) лития и хлора б) водорода и азота в) двух атомов кислорода. Составьте схемы образования этих связей.
Ответы
Автор ответа:
0
При взаимодействии:
а) лития и хлора- ионная связь;
б) водорода и азота- ковалентная полярная связь;
в)двух атомов кислорода- ковалентная неполярная.
а) лития и хлора- ионная связь;
б) водорода и азота- ковалентная полярная связь;
в)двух атомов кислорода- ковалентная неполярная.
Приложения:
Похожие вопросы
Предмет: Психология,
автор: Аноним
Предмет: Русский язык,
автор: Аноним
Предмет: Русский язык,
автор: maksim2009lol
Предмет: Математика,
автор: pgalina65