Предмет: Алгебра,
автор: Alexford123
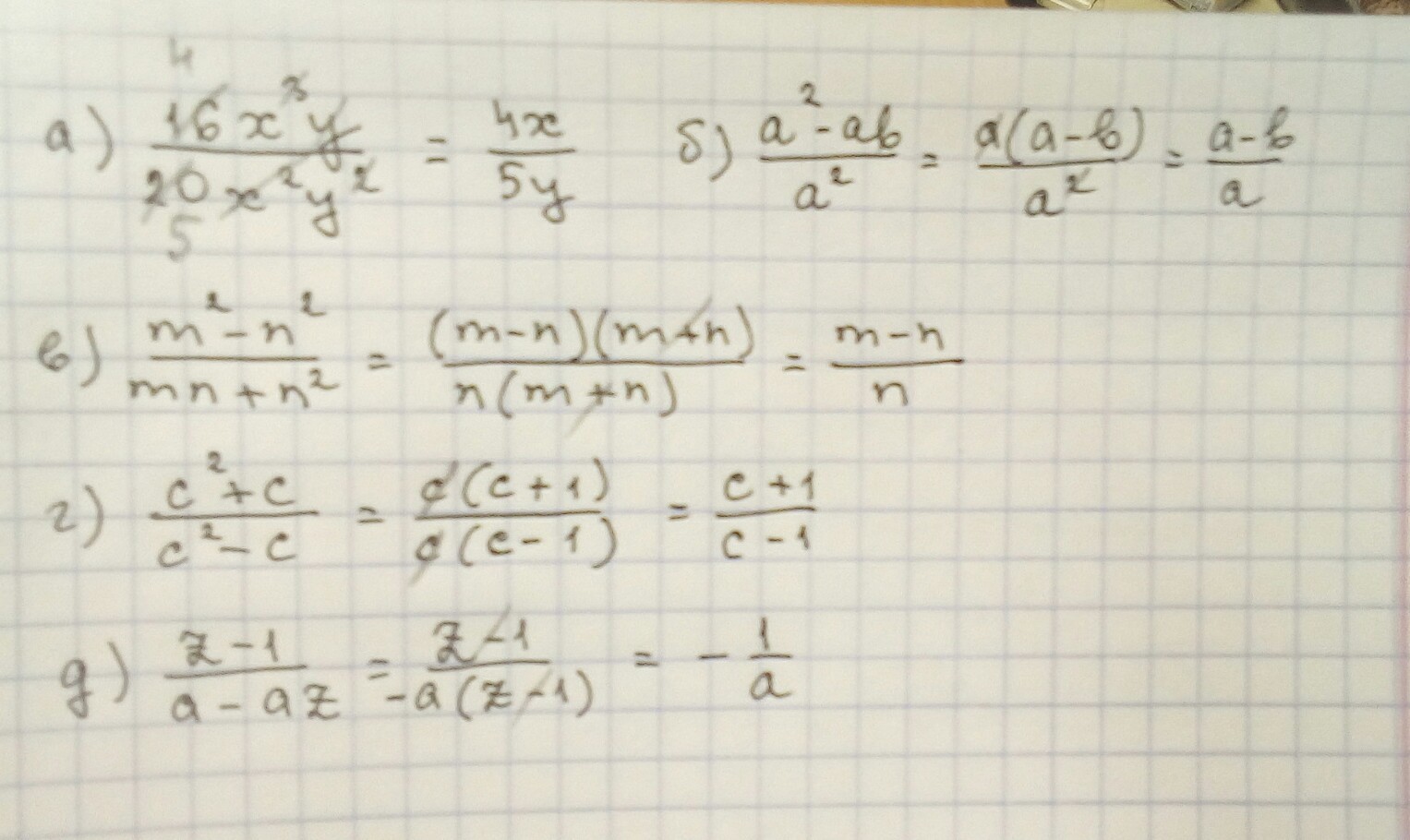
Только 4,помогите пожалуйста завтра спрашивать будут
Приложения:
Ответы
Автор ответа:
0
решение на фото..........
Приложения:
Похожие вопросы
Предмет: Геометрия,
автор: gffyikoitr
Предмет: Обществознание,
автор: storozevanton169
Предмет: История,
автор: Аноним
Предмет: Биология,
автор: Аноним
Предмет: Математика,
автор: JuliaChechenkova