Предмет: Алгебра,
автор: LightStar71
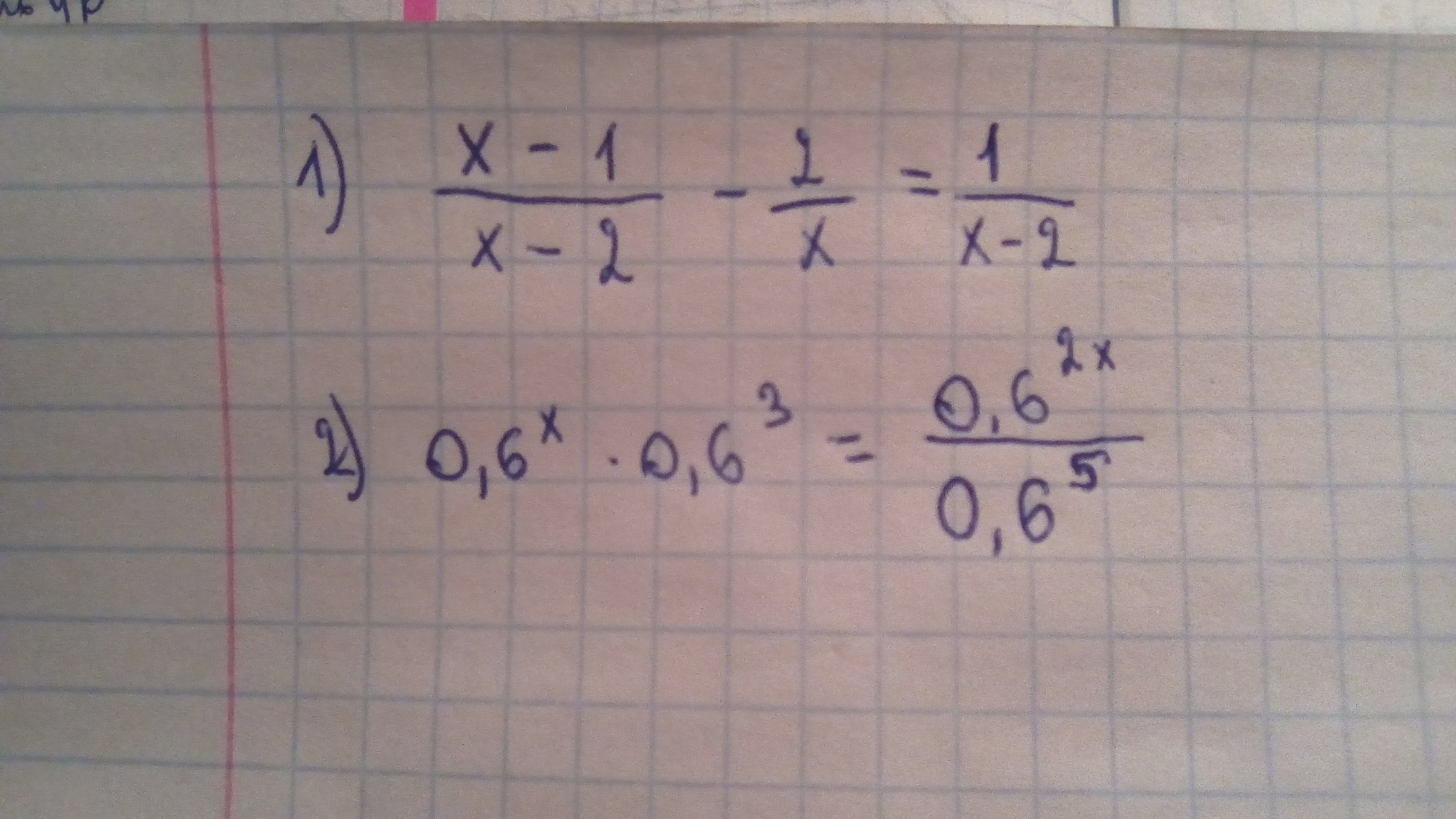
Срочно нужно! Решите уравнения на фото! Если не понятно на фото то.. вот:
1) x-1/x-2-2/x=1/x-2;
2) 0,6x*0,63=0,62x/0,65.
Хотя.. на фото понятнее)))
Приложения:
Ответы
Автор ответа:
0
//////////////////////////////////////////////////////////////////////
Приложения:
Похожие вопросы
Предмет: Русский язык,
автор: vladimirpulinrubs
Предмет: Информатика,
автор: Аноним
Предмет: Русский язык,
автор: Ubuntu356
Предмет: Математика,
автор: сына3