Предмет: Алгебра, автор: 4748484838

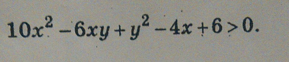
доведить неривнисть

Приложения:

Ответы

Автор ответа: mmb1
0
10x² - 6xy + y² - 4x + 6 = 9x² - 6xy + y² + x² - 4x + 4 + 2 = (3x-y)² + (x-2)² + 2 
первые два члена ≥ 0 а третий > 0 значит и сумма > 0
Похожие вопросы
Предмет: Информатика, автор: Arseniy123425325
1. Если информация, содержащаяся в ячейке таблицы, неизвестна, то какой в ней ставится символ?
а) х
б) ?
с) !
d) -
e) Ничего не ставится
__________________________________

2. Информация, представленная в виде таблицы:
а) занимает больше места
б) наглядна
с) компактна
d) воспринимается хуже, чем текст
e) легко образима
__________________________________

3. Какой тип таблицы отражает взаимосвязи между объектами одного или нескольких классов?
а) Свойство - объект
б) Объект - объект
с) Объект - параметры
d) Объект - свойство
e) Объект - атрибуты
__________________________________

4. Какой тип таблицы используется при наличии объектов, обладающих одинаковыми наборами свойств?
а) Свойство - объект
б) Объект - объект
с) Объект - параметры
d) Объект - свойство
e) Объект - атрибуты
__________________________________

5. Сколько строк (не включая заголовок) должно быть в таблице "Средняя температура воздуха по месяцам за 2016-2017 годы", если в ней есть данные только по температуре?
__________________________________

6. Какие таблицы имеют тип "Объект - свойство"
а) Успеваемость по математике
б) Река России
с) Расстояние между городами
d) Книги городской библиотеки
e) Погода: март 2021 года

__________________________________

7. Если в табличной модели "Расстояние между городами" в ячейке нет значения, то это означает:
а) Взятие данных из ячеек выше
б) Отсутствие дороги
с) Неизвестное расстояние
d) Данные не заполнены​
Предмет: Алгебра, автор: gayko11999