Предмет: Алгебра,
автор: Ромашка851
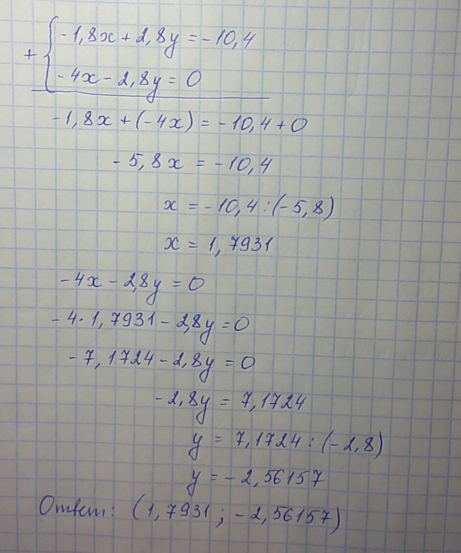
Решите систему уравнений, пожалуйста.
-1,8x+2,8y=-10,4
-4x-2,8y=0
Ответы
Автор ответа:
0
Ответ и решение на фото
Приложения:
Автор ответа:
0
Я я вас Прошу помогите решить геометрию
Похожие вопросы
Предмет: Алгебра,
автор: dima3petrov
Предмет: Математика,
автор: richartrichie42
Предмет: Химия,
автор: aliskavolkova9
Предмет: Математика,
автор: егорян1
Предмет: Химия,
автор: Кристинка1911