Предмет: Алгебра,
автор: Ната12153
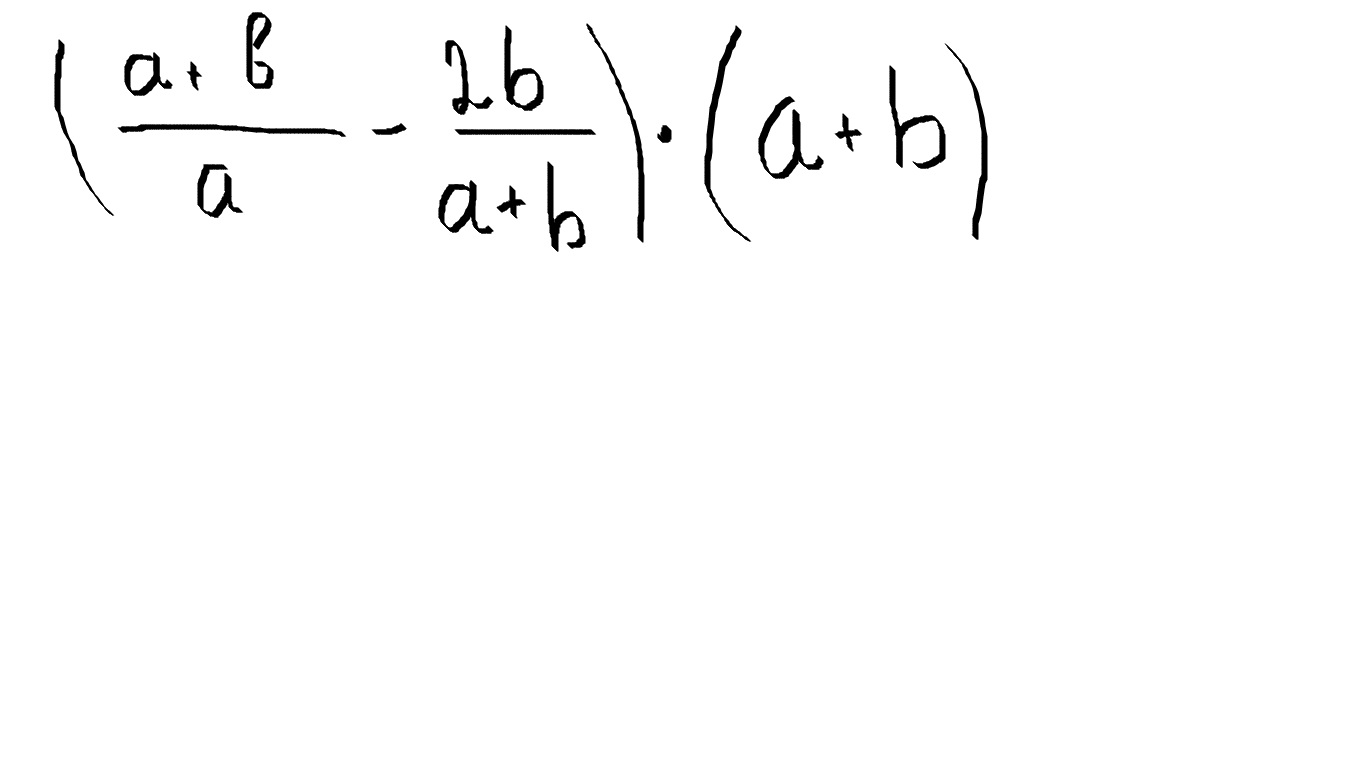
Помогите ,пожалуйста,с алгеброй. Нужно упростить выражение
Приложения:
Ответы
Автор ответа:
0
1)(a+b)(a+b)-2ab в знам a(a+b)= a^2+2ab+b^2 в знам a(a+b)= a^2+b^2 в знам a(a+b)
2)(a^2+b^2)*(a+b)в знам a(a+b)=a^2+b^2 в знам а
2)(a^2+b^2)*(a+b)в знам a(a+b)=a^2+b^2 в знам а
Похожие вопросы
Предмет: Русский язык,
автор: zvoi1249
Предмет: Русский язык,
автор: Daler2020
Предмет: Математика,
автор: shuhratovaamira
Предмет: Физика,
автор: Fibbs99
Предмет: Алгебра,
автор: санчес2013