Предмет: Математика, автор: shokolate2

помогите пожалуйста, очень срочно надо

Приложения:

Ответы

Автор ответа: pmahmudovaoyhgbo
0
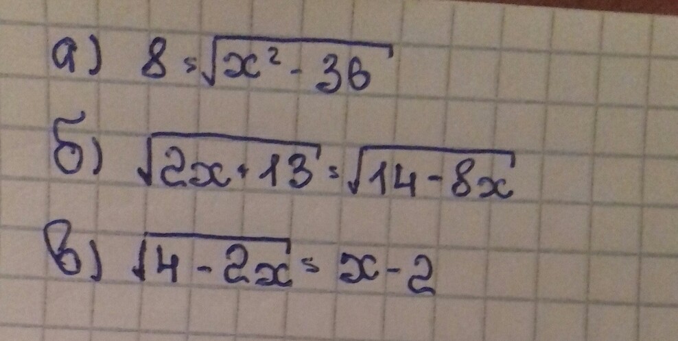
а)  64=x^2-36                               c)       4-2x= (x-2)^2
      64+36=x^2                                      4-2x=x^2-2x+4
         100=x^2                                      x^2-2x+2x+4-4=0
              x=10                                            x=0
                                                                        
b)  2x +13=14-8x
      2x+8x=14-13
         10x=1
           x=1/10
Похожие вопросы
Предмет: Математика, автор: Аноним
Предмет: Алгебра, автор: kruglovmaksim19