Предмет: Алгебра,
автор: ыкльпо
номер 3 пожалуйстааааа
Приложения:
Ответы
Автор ответа:
0
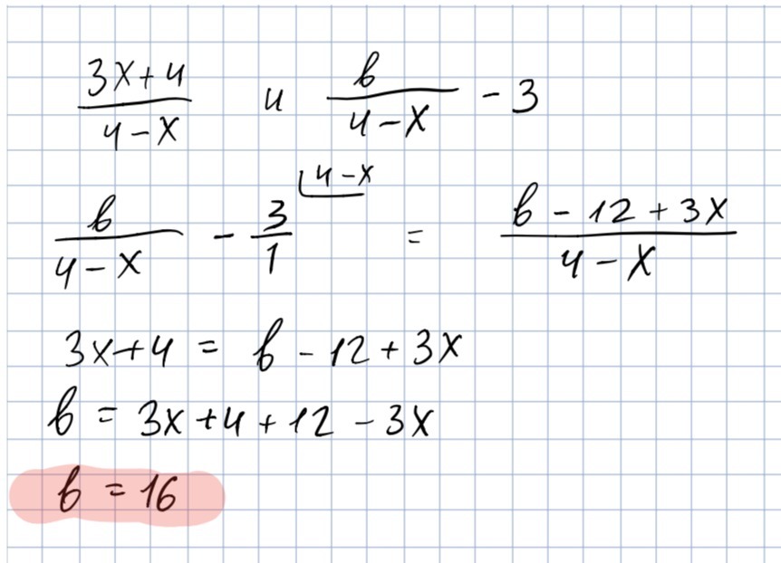
если будут вопросы, спрашивай
Приложения:
Похожие вопросы
Предмет: Английский язык,
автор: sofa199424
Предмет: Математика,
автор: andrejcapla241
Предмет: Математика,
автор: nazymkabi01
Предмет: Информатика,
автор: Tanya1809
Предмет: Математика,
автор: chirkovanasten