Предмет: Алгебра,
автор: alinkasmirnova3
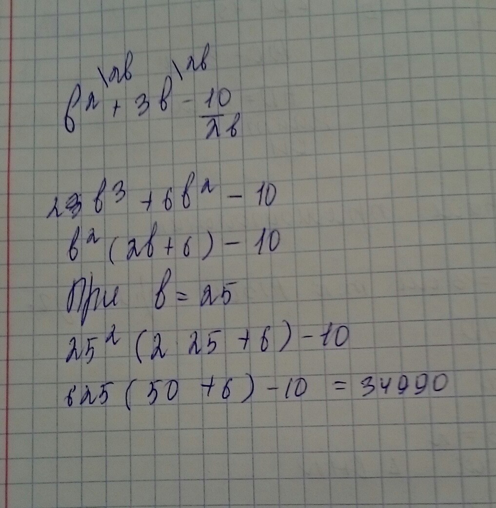
b^2+3b-10/2b при b=25
Ответы
Автор ответа:
0
.......................
Приложения:
Автор ответа:
0
Спасибо
Похожие вопросы
Предмет: Английский язык,
автор: sembinovadamelya
Предмет: История,
автор: kardovskaalilia
Предмет: География,
автор: Аноним
Предмет: История,
автор: про100Уля1
Предмет: Математика,
автор: KатяГолицына12