Предмет: Алгебра, автор: neuzvesnaya

Срочно срочно срочно срочно срочно Иррациональные числа

Приложения:

Ответы

Автор ответа: ВикаВикторовна
0
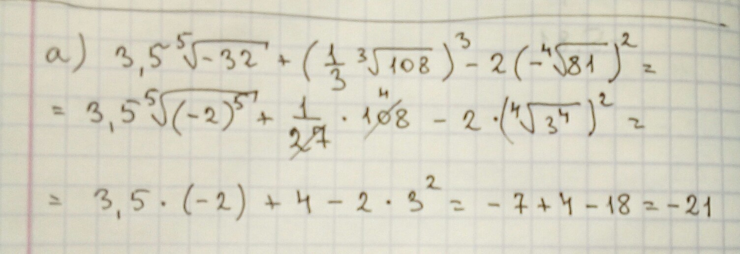
см. фото..................
Приложения:
Похожие вопросы
Предмет: Математика, автор: elenatatarcenko24
Предмет: ОБЖ, автор: katyajjjj34
Предмет: Математика, автор: viffuddauproulu8627
Предмет: Химия, автор: Danilka123451