Предмет: Математика,
автор: faraonklassik
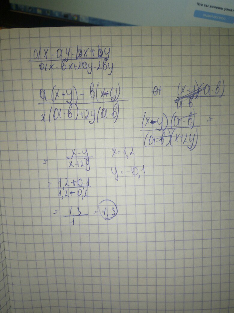
Сократительной дробь ax-ay-bx+by/ax-bx+2ay-2by подстпвьте значения x=1,2 y=-0,1
Ответы
Автор ответа:
0
Вот фото))))))))))))))))))))))
Приложения:
Похожие вопросы
Предмет: Окружающий мир,
автор: dhoziasheva
Предмет: Другие предметы,
автор: zhumkenrasul
Предмет: Русский язык,
автор: fastikstik
Предмет: Математика,
автор: веро3
Предмет: Алгебра,
автор: ден158