Предмет: Алгебра,
автор: SNAI4
Помогите решить пожалуйста )
Буду очень блогодарен
Приложения:
Ответы
Автор ответа:
0
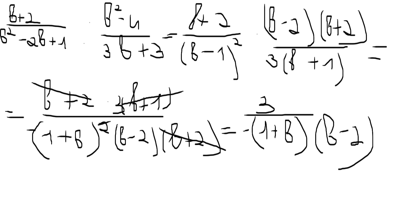
Задание 1:Упростите выражение
Задание 2: 1 действие деление 2 действие вычитание
Задание 3: 1 действие вычитание ,2 действие вычитание ,3 действие деление
Задание 2: 1 действие деление 2 действие вычитание
Задание 3: 1 действие вычитание ,2 действие вычитание ,3 действие деление
Приложения:
Похожие вопросы
Предмет: Русский язык,
автор: ggulnarm
Предмет: Английский язык,
автор: miraskyzy
Предмет: Русский язык,
автор: Naruto4560
Предмет: История,
автор: gvozdevadasha
Предмет: Физика,
автор: veronikaaa17