Предмет: Алгебра,
автор: shchepkina
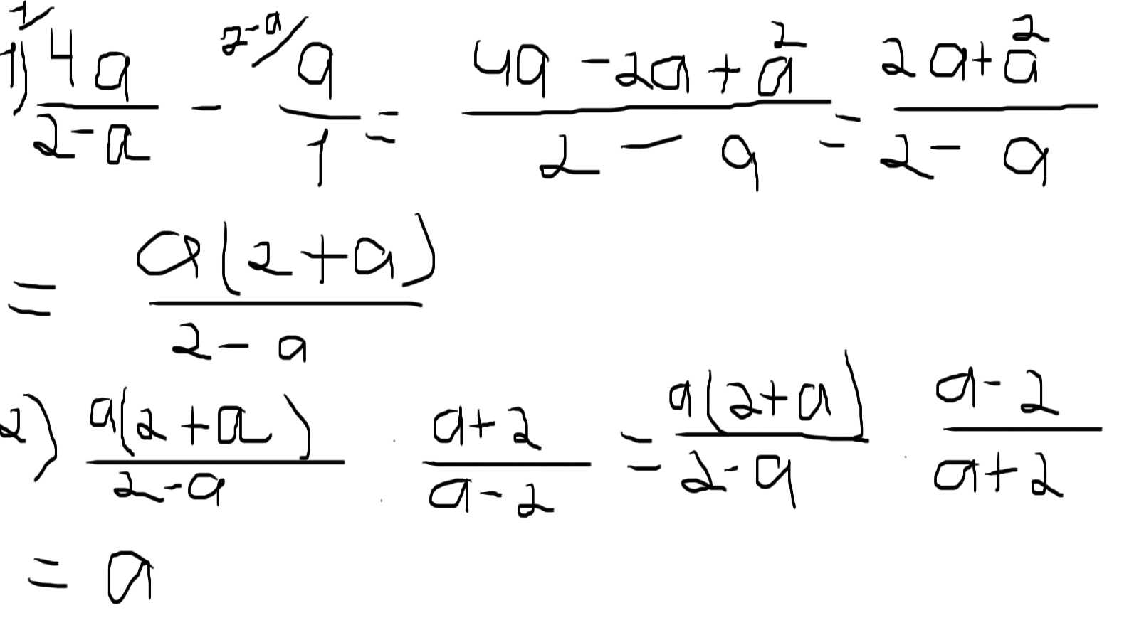
(4a/2-a - a) : a+2/a-2
Ответы
Автор ответа:
0
Держи! 1 действие вычитание, 2 деление
Ответ: а
Ответ: а
Приложения:
Похожие вопросы
Предмет: Информатика,
автор: cilia
Предмет: История,
автор: kamillaok63
Предмет: Қазақ тiлi,
автор: ajmagulabajdinova
Предмет: Литература,
автор: annatavanets2002
Предмет: География,
автор: Хомячок12345