Предмет: Алгебра,
автор: samokS
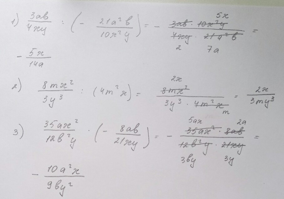
Помогите пожалуйста!!!!! Нужно упростить
Приложения:
Ответы
Автор ответа:
0
Если я не ошибаюсь, должно получиться так
Приложения:
Похожие вопросы
Предмет: История,
автор: Аноним
Предмет: Русский язык,
автор: Аноним
Предмет: Биология,
автор: nikmanpopov
Предмет: Информатика,
автор: kekpolina
Предмет: Биология,
автор: Аноним