Предмет: Алгебра,
автор: John5432
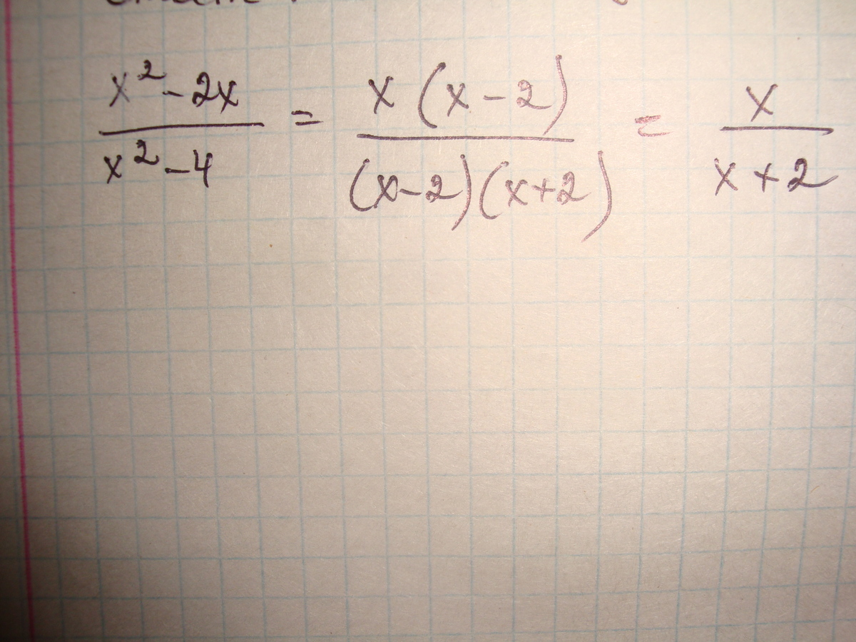
cократите дробь x^2-2x/x^2-4
Ответы
Автор ответа:
0
решение во вложении0000000000000000000000000000000000000000000000
Приложения:
Похожие вопросы
Предмет: Химия,
автор: juliaionova
Предмет: Английский язык,
автор: vikaplay1235
Предмет: Алгебра,
автор: vikaashool
Предмет: Геометрия,
автор: hil1