Предмет: Алгебра,
автор: АняЛари
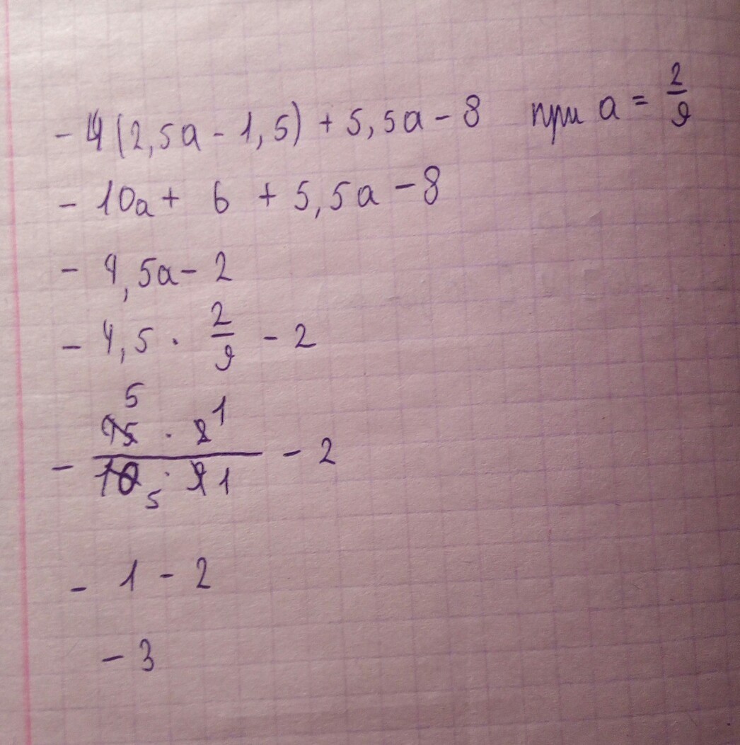
упростите вырожение и найдите его значение -4(2,5a-1,5)+5,5а-8 при а =2/9
Ответы
Автор ответа:
0
надеюсь подчерк понятен
Приложения:
Автор ответа:
0
спс))
Похожие вопросы
Предмет: Физика,
автор: ll3v8
Предмет: Физика,
автор: kimsh2k2000
Предмет: Химия,
автор: klukancuk73
Предмет: Математика,
автор: гта4
Предмет: Литература,
автор: Мура46