Предмет: Алгебра,
автор: PechkinTHEpostmaN
смотрите в файл для помощи
Приложения:
Ответы
Автор ответа:
0
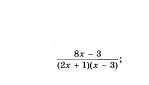
решение задания смотри на фотографии
Приложения:
Похожие вопросы
Предмет: Алгебра,
автор: mubinabonu2707
Предмет: Математика,
автор: kopylovggg
Предмет: География,
автор: nikatsarik28
Предмет: Математика,
автор: ару3пр