Предмет: Алгебра,
автор: MAXIMKA26
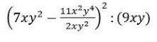
Привести к одночлену стандартного вида
Приложения:
Ответы
Автор ответа:
0
решение смотри на фотографии
Приложения:
Похожие вопросы
Предмет: Литература,
автор: Mihail2212
Предмет: Алгебра,
автор: mariakomrakova95
Предмет: Физика,
автор: artymall
Предмет: Алгебра,
автор: Yarik11111