Предмет: Математика,
автор: mrgeolog1
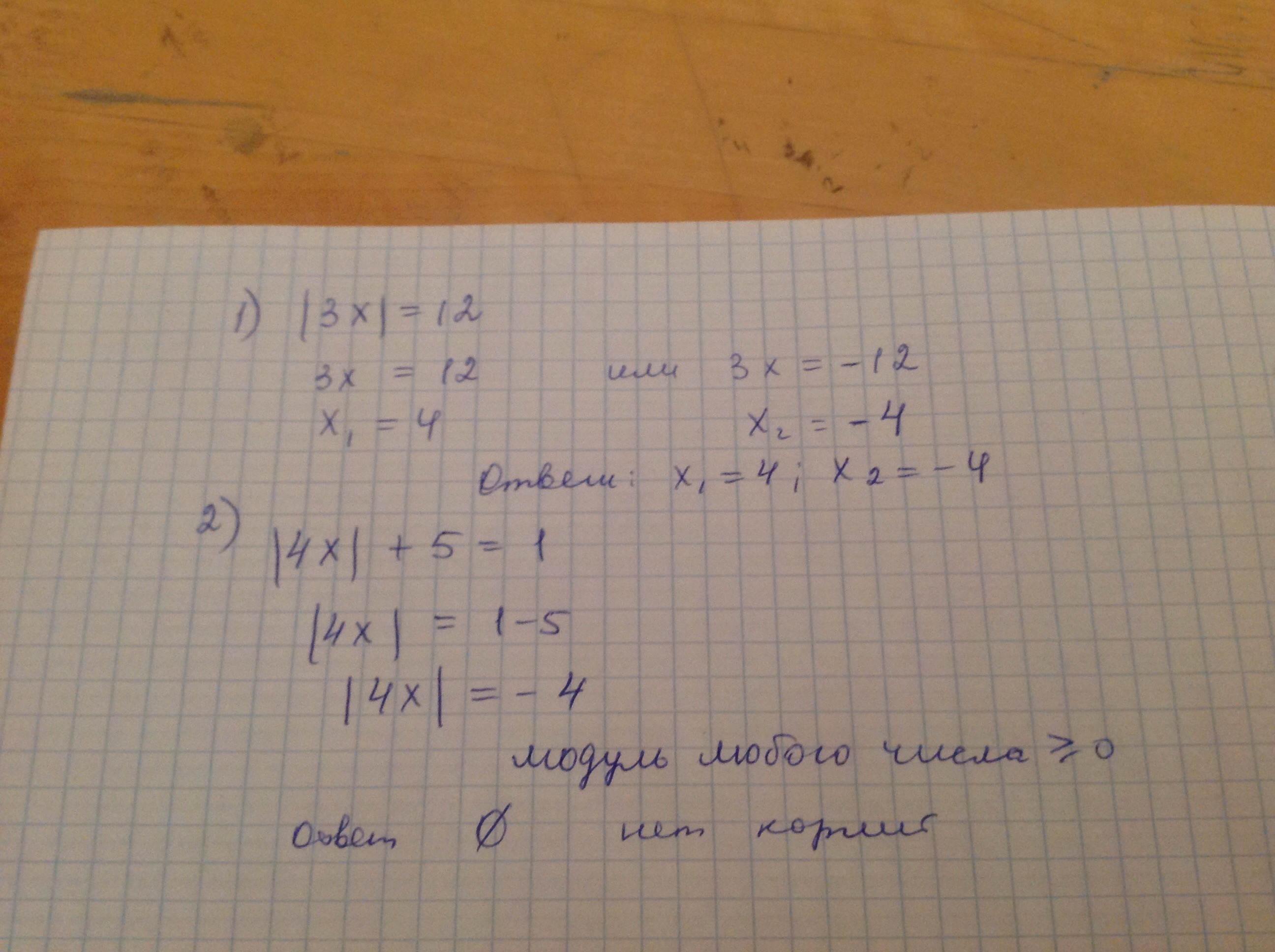
решите уравнения плиз вот они 1) |3x|=12 2)|4X|+5=1
Ответы
Автор ответа:
0
Решение смотри на фото
Приложения:
Похожие вопросы
Предмет: История,
автор: varapetrova281
Предмет: Физика,
автор: adyb02062006
Предмет: Математика,
автор: elinamuradova62009
Предмет: Математика,
автор: angela0