Предмет: Алгебра,
автор: Аноним
ребят помогите пж с 2 номера по 5 - зарание спасибо
Приложения:
Ответы
Автор ответа:
0
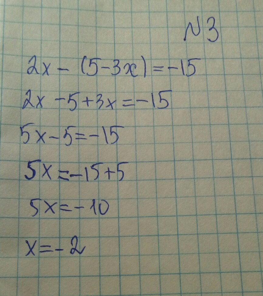
Тут только 3 задание) Скоро будут и остальные)
Приложения:
Похожие вопросы
Предмет: Математика,
автор: qudretmustafayev9
Предмет: История,
автор: ermekzhanabilovps4
Предмет: Математика,
автор: lol1265
Предмет: Информатика,
автор: nasdf
Предмет: Математика,
автор: Лолита27