Предмет: Алгебра,
автор: Аноним
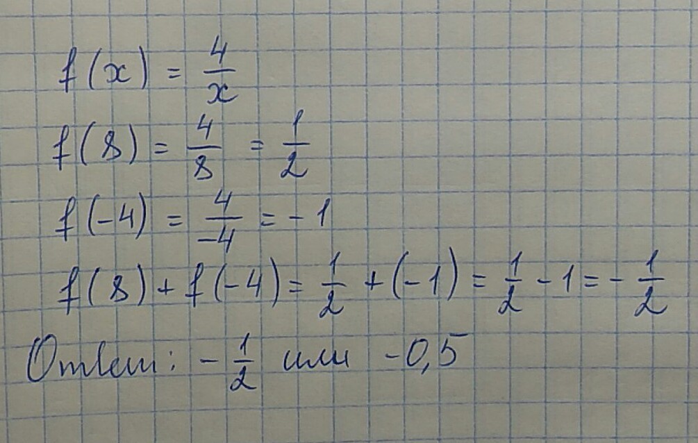
Функция задана формулой f(x)=4/x. Вычисли f(8)+f(-4) .
Ответы
Автор ответа:
1
Сначала найдем значения функции при 8 и -4.
Приложения:
Автор ответа:
2
f(x) = 
f(8) =
f(-4) =
f(8) + f(-4) =
f(8) =
f(-4) =
f(8) + f(-4) =
Похожие вопросы
Предмет: Математика,
автор: maksimsimanskij72
Предмет: Другие предметы,
автор: Vika4395
Предмет: Химия,
автор: shalamovaolha
Предмет: Биология,
автор: Аноним
Предмет: Алгебра,
автор: alina4ka2005