Предмет: Алгебра,
автор: slon21
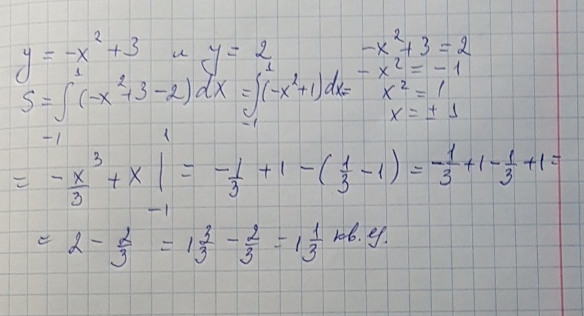
Вычислите площадь фигуры,ограниченной линиями:
у= -х^2 + 3 и у=2
Помогите пожалуйста!
Заранее спасибо!
Ответы
Автор ответа:
2
решение задания смотри на фотографии
Приложения:
подкожного:
пожалуйста
Похожие вопросы
Предмет: Математика,
автор: idocenko373
Предмет: Математика,
автор: ninacelujko06
Предмет: Алгебра,
автор: xxIolxx
Предмет: Математика,
автор: gmn12
Предмет: Математика,
автор: qalinasereda1372