Предмет: Математика,
автор: М266
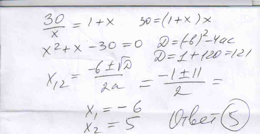
Какое из чисел 3,5,12 является корнем уравнения 30:x=1+x?
Ответы
Автор ответа:
3
Подставь 5 и выйдет
30/5=1+5
6=6
Ответ: число 5!
30/5=1+5
6=6
Ответ: число 5!
самира215:
незнаю точно но кажется 5
списал щяиш
щя бан пулучиш
5 30÷5=1+5
Что списал?
Автор ответа:
3
Решение 5 является корнем уравнения
ниже
ниже
Приложения:
Похожие вопросы
Предмет: Математика,
автор: kirqwe1124
Предмет: Математика,
автор: Deniskraynov748
Предмет: Математика,
автор: Vsessss2833
Предмет: Русский язык,
автор: катя4003