Предмет: Алгебра, автор: Irishka201198

Помогите,пожалуйста,решить задание!Заранее спасибо)))
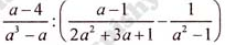
Упростите выражение: 

Приложения:

Ответы

Автор ответа: Artem112
0
 frac{a-4}{a^3-a} :( frac{a-1}{2a^2+3a+1}- frac{1}{a^2-1}  )=
 frac{a-4}{a(a^2-1)} :( frac{a-1}{2a^2+2a+a+1}- frac{1}{(a-1)(a+1)}  )=
\
= frac{a-4}{a(a^2-1)} : frac{(a-1)^2-2a-1}{(a^2-1)(2a+1)}=
 frac{a-4}{a(a^2-1)} cdot frac{(a^2-1)(2a+1)}{a^2-4a}=
frac{2a+1}{a^2}
Похожие вопросы
Предмет: Математика, автор: aanufrieva868