Предмет: Алгебра,
автор: Fredj47368
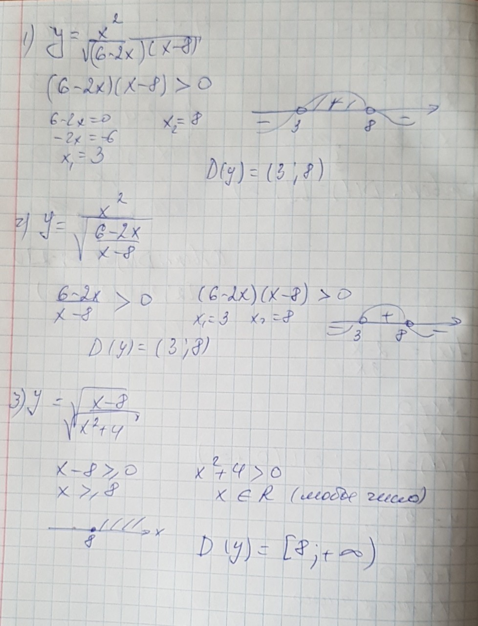
Найдите область определения функции:
y=x^2/√(6-2x)/x-8
y=√(x-8)/√(x^2+4)
Ответы
Автор ответа:
0
решение задания смотри на фотографии
Приложения:
Похожие вопросы
Предмет: Информатика,
автор: Аноним
Предмет: Другие предметы,
автор: bakugoikatsuki
Предмет: Қазақ тiлi,
автор: serikzazira152
Предмет: Математика,
автор: svetik2508
Предмет: Биология,
автор: 20176