Предмет: Алгебра,
автор: ulay09
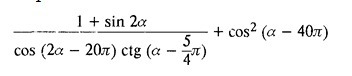
Упростите выражение,тригонометрия
Приложения:
Ответы
Автор ответа:
0
Ответ-☆☆☆☆☆☆☆☆●☆☆☆☆☆☆
Приложения:
Похожие вопросы
Предмет: Русский язык,
автор: daniyalibrashev
Предмет: Химия,
автор: zaharkoselev610
Предмет: Физика,
автор: bajmuratovnurdaulet7
Предмет: Математика,
автор: умная42