Предмет: Алгебра,
автор: лукинская
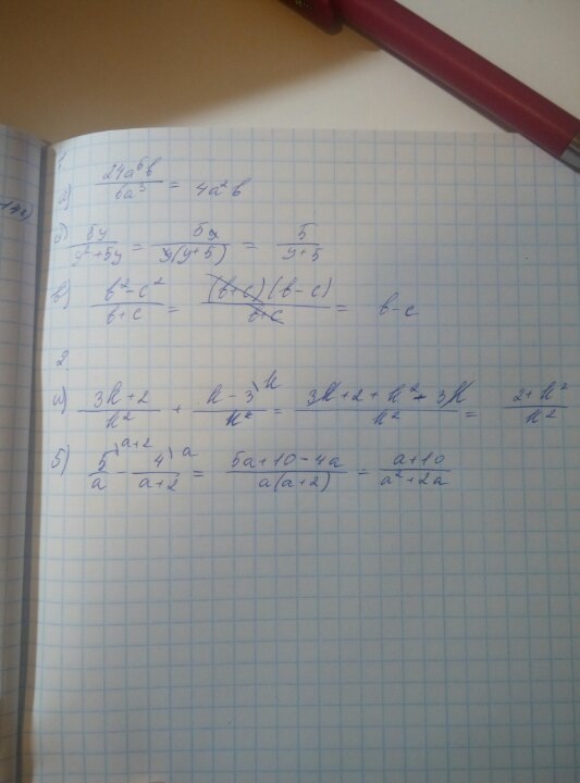
пж помогите завтра сдавать
Приложения:
Ответы
Автор ответа:
0
вот кажется правельно. Мне это было легко
Приложения:
Автор ответа:
0
ну вроде как-то так.
Приложения:
Автор ответа:
1
спс
Похожие вопросы
Предмет: Українська мова,
автор: Gaemer228
Предмет: Қазақ тiлi,
автор: sattarbakytzan653
Предмет: Информатика,
автор: zanaiummirhan
Предмет: История,
автор: niechaiev73