Предмет: Алгебра,
автор: Military47
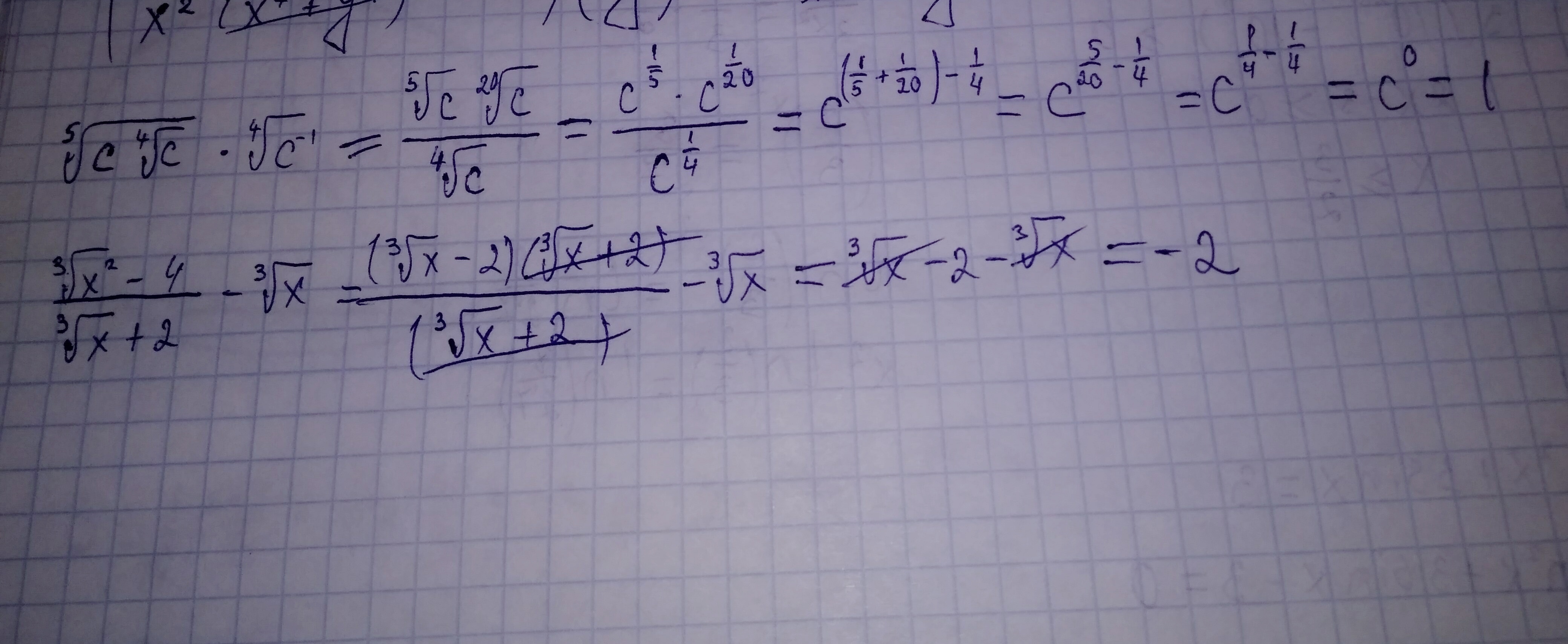
Упростить выражение.
Приложения:
Ответы
Автор ответа:
0
надеюсь, что все понятно
Приложения:
Похожие вопросы
Предмет: Математика,
автор: amanovakarina60
Предмет: Геометрия,
автор: oleg0010100
Предмет: Українська мова,
автор: shpura13
Предмет: Химия,
автор: Vvs160500
Предмет: Математика,
автор: gfdfgfgf