Предмет: Алгебра,
автор: Umnik228345
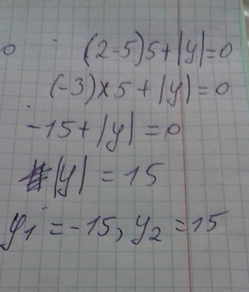
Решите уравнение (2−5)5+|y|=0.
А. =2,5;=2;
Б. =2;=0;
В. =3;=1,5;
Г. =2,5;=0.
Ответы
Автор ответа:
0
ответ В .............
Приложения:
Похожие вопросы
Предмет: Математика,
автор: zautsevatanya1820
Предмет: География,
автор: wax2wdivin
Предмет: Биология,
автор: ahramenkovzahar61
Предмет: Обществознание,
автор: Колосова123456
Предмет: Литература,
автор: Диман997