Предмет: Математика,
автор: Rinas001
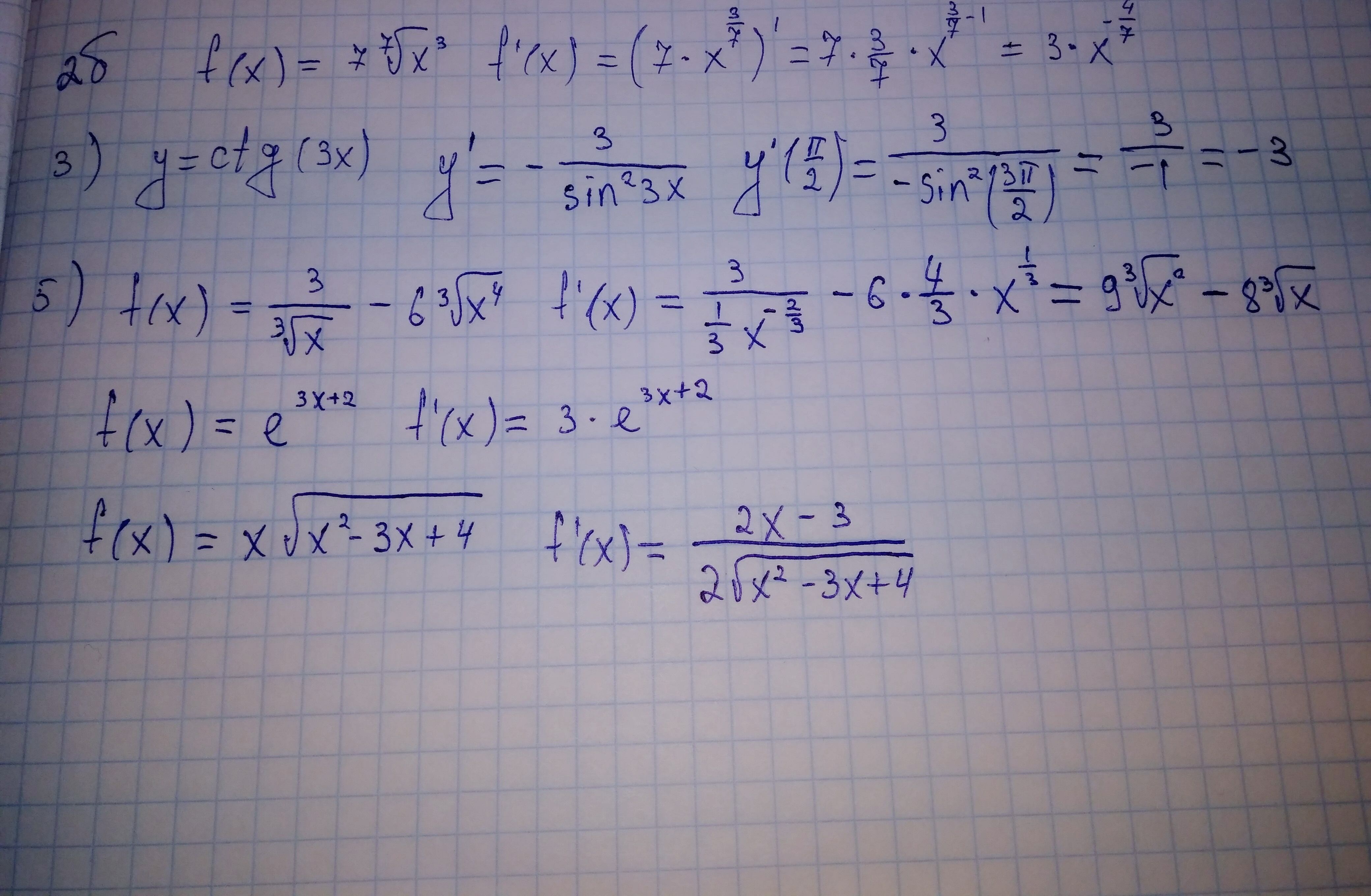
Пжт решите 2)б; и 3 и 5. Спасибо;)
Приложения:
Ответы
Автор ответа:
0
надеюсь, что все понятно
Приложения:
Похожие вопросы
Предмет: Алгебра,
автор: willecks
Предмет: Литература,
автор: valeriapronka4
Предмет: Алгебра,
автор: baranovkazel4
Предмет: Алгебра,
автор: Оленька312003
Предмет: География,
автор: bievets94