Предмет: Алгебра,
автор: julijan72
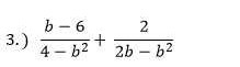
Помогите с алгеброй...
Приложения:
Ответы
Автор ответа:
0
Надеюсь, что ты поймёшь мой почерк ))
Приложения:
Похожие вопросы
Предмет: География,
автор: Nabudira
Предмет: История,
автор: mcet200
Предмет: Українська мова,
автор: ilinihkira
Предмет: Алгебра,
автор: bessmertnaya1dasha