Предмет: Алгебра,
автор: williamwalter
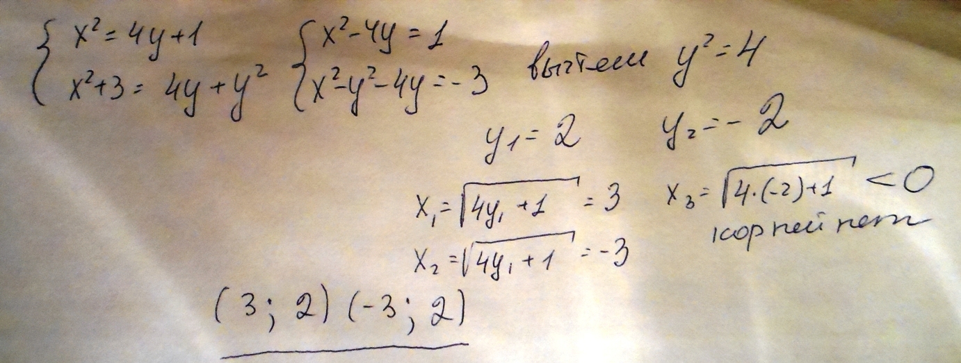
помогите решить систему уравнений,пожалуйста
Приложения:
Ответы
Автор ответа:
0
!!!!!!!!!!!!!!!!!!!!!!!!!!!!!!!
Приложения:
Похожие вопросы
Предмет: Информатика,
автор: kalyannireptop
Предмет: Английский язык,
автор: Аноним
Предмет: Русский язык,
автор: Rop4ikk
Предмет: Химия,
автор: anastas75
Предмет: Алгебра,
автор: turbolandon2