Предмет: Математика,
автор: Exampe
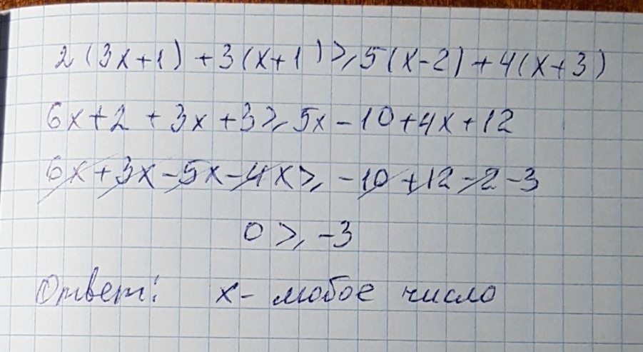
решите поже 2(3x пожееее фотку внутри
Приложения:
Ответы
Автор ответа:
0
решение задания смотри на фотографии
Приложения:
Автор ответа:
0
Лучший
Автор ответа:
0
Спасибо на добром слове
Похожие вопросы
Предмет: Информатика,
автор: samaraergesova68
Предмет: Қазақ тiлi,
автор: ersinovaskar4
Предмет: Алгебра,
автор: MbLow
Предмет: Алгебра,
автор: Аноним