Предмет: Алгебра,
автор: FaNaTiK113377
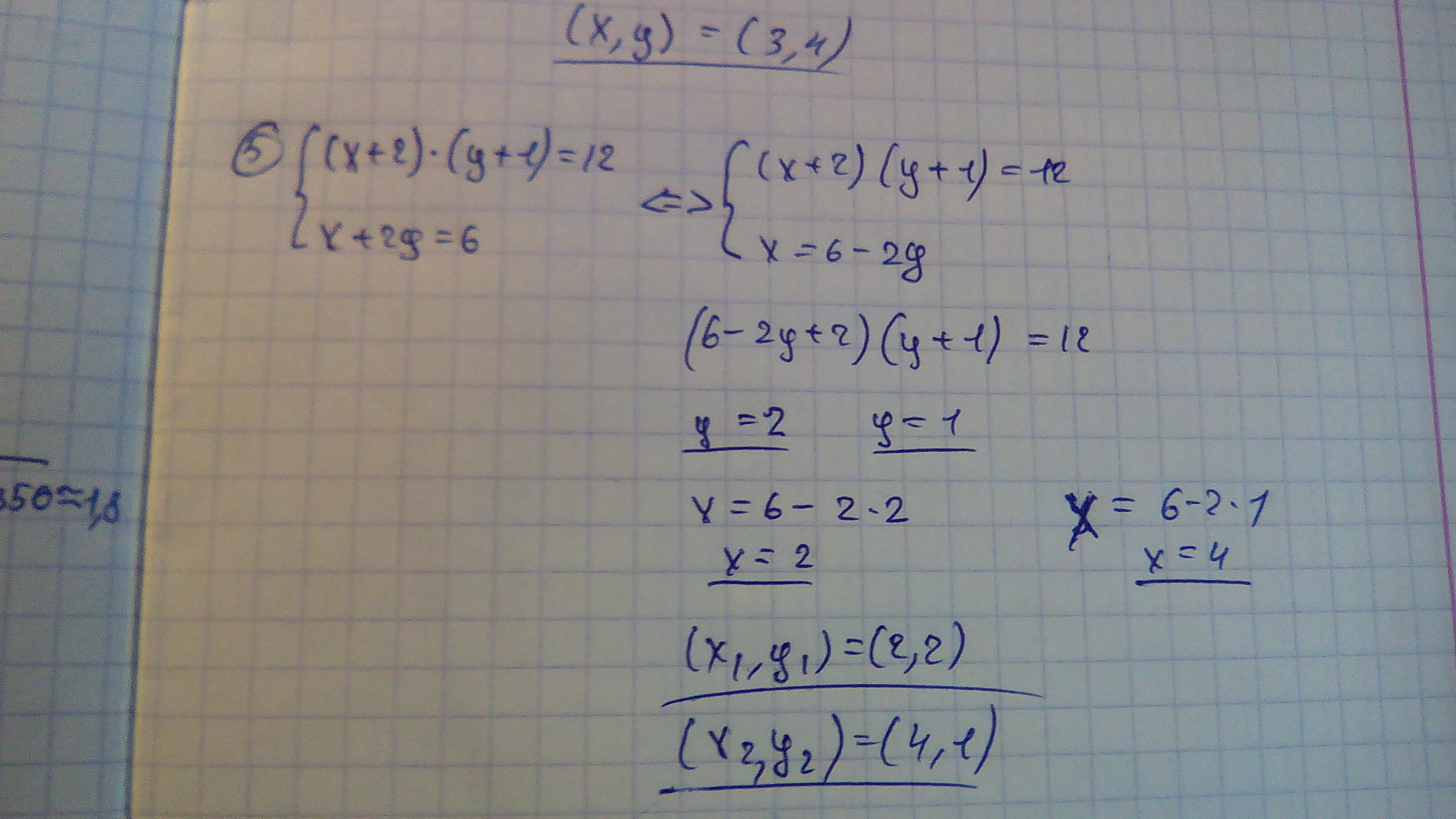
решите системы уравнений:
Приложения:
Ответы
Автор ответа:
0
Сори, последние хз :D
Приложения:
Автор ответа:
0
Спасибо)
Автор ответа:
0
Не за что :D
Похожие вопросы
Предмет: Алгебра,
автор: klikvapro
Предмет: Английский язык,
автор: Аноним
Предмет: Литература,
автор: sattarovamadina6896
Предмет: Геометрия,
автор: Kaifofaya
Предмет: Физика,
автор: iixLiliyaxii