Предмет: Физика,
автор: valeroon16
Помогите пожалуйста решить
Приложения:
Ответы
Автор ответа:
0
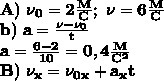
Кароче говоря как то так..Если не понятно переспрашивай.
Приложения:
Похожие вопросы
Предмет: Математика,
автор: qasimovamehriban11
Предмет: Геометрия,
автор: kvokva0192
Предмет: Английский язык,
автор: cudllies70
Предмет: Алгебра,
автор: gleb9809
Предмет: Физика,
автор: ника308