Предмет: Алгебра,
автор: kabzyapparova
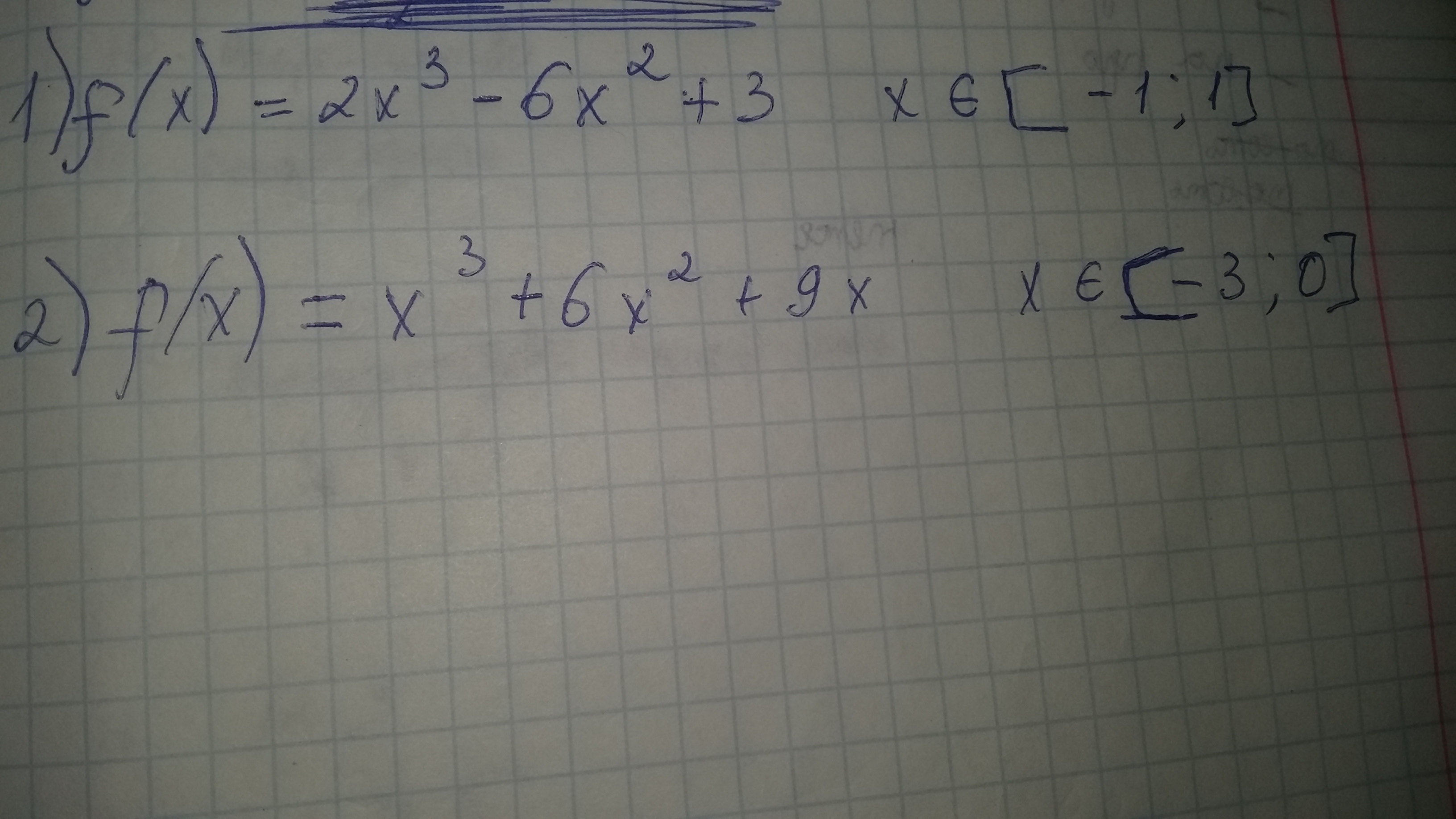
Найти наименьшее и наибольшее значение функции в заданном промежутке
Приложения:
Ответы
Автор ответа:
0
1)
![f(x)=2x^3-6x^2+3; x in [-1;1]
\f(x)'=2*3x^2-6*2x=6x^2-12x
\6x^2-12x=0
\x(x-2)=0
\x_1=0 in [-1;1]
\x_2=2 notin [-1;1]
\f(0)=3
\f(-1)=-2-6+3=-5
\f(1)=2-6+3=-1 f(x)=2x^3-6x^2+3; x in [-1;1]
\f(x)'=2*3x^2-6*2x=6x^2-12x
\6x^2-12x=0
\x(x-2)=0
\x_1=0 in [-1;1]
\x_2=2 notin [-1;1]
\f(0)=3
\f(-1)=-2-6+3=-5
\f(1)=2-6+3=-1](https://tex.z-dn.net/?f=f%28x%29%3D2x%5E3-6x%5E2%2B3%3B+x+in+%5B-1%3B1%5D%0A%5Cf%28x%29%27%3D2%2A3x%5E2-6%2A2x%3D6x%5E2-12x%0A%5C6x%5E2-12x%3D0%0A%5Cx%28x-2%29%3D0%0A%5Cx_1%3D0+in+%5B-1%3B1%5D%0A%5Cx_2%3D2+notin+%5B-1%3B1%5D%0A%5Cf%280%29%3D3%0A%5Cf%28-1%29%3D-2-6%2B3%3D-5%0A%5Cf%281%29%3D2-6%2B3%3D-1)
наименьшее значение функции на отрезке [-1;1] в точке (-1;-5), наибольшее - в точке (0;3)
2)
![f(x)=x^3+6x^2+9x; x in [-3;0]
\f(x)'=3x^2+12x+9
\3x^2+12x+9=0
\D=144-108=36=6^2
\x_1= frac{-12+6}{6} =-1in [-3;0]
\x_2=-3in [-3;0]
\f(-3)=-27+54-27=0
\f(-1)=-1+6-9=-4
\f(0)=0 f(x)=x^3+6x^2+9x; x in [-3;0]
\f(x)'=3x^2+12x+9
\3x^2+12x+9=0
\D=144-108=36=6^2
\x_1= frac{-12+6}{6} =-1in [-3;0]
\x_2=-3in [-3;0]
\f(-3)=-27+54-27=0
\f(-1)=-1+6-9=-4
\f(0)=0](https://tex.z-dn.net/?f=f%28x%29%3Dx%5E3%2B6x%5E2%2B9x%3B+x+in+%5B-3%3B0%5D%0A%5Cf%28x%29%27%3D3x%5E2%2B12x%2B9%0A%5C3x%5E2%2B12x%2B9%3D0%0A%5CD%3D144-108%3D36%3D6%5E2%0A%5Cx_1%3D+frac%7B-12%2B6%7D%7B6%7D+%3D-1in+%5B-3%3B0%5D%0A%5Cx_2%3D-3in+%5B-3%3B0%5D%0A%5Cf%28-3%29%3D-27%2B54-27%3D0%0A%5Cf%28-1%29%3D-1%2B6-9%3D-4%0A%5Cf%280%29%3D0)
наибольшее значение функции на отрезке [-3;0] в точках (-3;0) и (0;0), наименьшее - в точке (-1;-4)
наименьшее значение функции на отрезке [-1;1] в точке (-1;-5), наибольшее - в точке (0;3)
2)
наибольшее значение функции на отрезке [-3;0] в точках (-3;0) и (0;0), наименьшее - в точке (-1;-4)
Похожие вопросы
Предмет: Литература,
автор: sonashnuk
Предмет: Алгебра,
автор: liyaartemeva2000
Предмет: Литература,
автор: katyaxaxaxa
Предмет: Химия,
автор: Oksaaaa
Предмет: Математика,
автор: ХарбедияАлёна